Работа вам нужна срочно. Не волнуйтесь, уложимся!
- 22423 авторов готовы помочь тебе.
- 2402 онлайн
Определить вид экстремума на экстремали используя достаточное условие Лежандра

Предмет: Математический анализ
Раздел: Варинциальное исчисление (Вариационное исчисление)
Дано функционал:
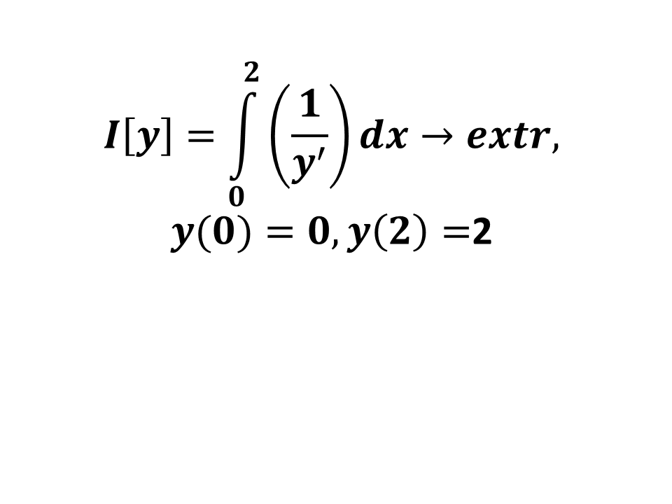
I[y] = \int_0^2 \frac{1}{y'} \, dx \to \text{extr}, \quad y(0) = 0, \quad y(2) = 2
Обозначим
F(x, y, y') = \frac{1}{y'}
F_y = \frac{\partial}{\partial y} \frac{1}{y'} = 0, так как F не зависит от y явно.
F_{y'} = \frac{\partial}{\partial y'} \frac{1}{y'} = -\frac{1}{(y')^2}
F_{y'y'} = \frac{\partial}{\partial y'} \left(-\frac{1}{(y')^2}\right) = \frac{2}{(y')^3}
Уравнение Эйлера-Лагранжа:
\frac{d}{dx} F_{y'} - F_y = 0 \implies \frac{d}{dx} \left(-\frac{1}{(y')^2}\right) = 0
Отсюда
-\frac{1}{(y')^2} = C = \text{const}
Значит,
y' = \pm \frac{1}{\sqrt{-C}}
Пусть y' = k = \text{const}. Тогда интегрируя:
y = kx + b
Используем граничные условия:
y(0) = b = 0, \quad y(2) = 2k = 2 \implies k = 1
Экстремаль:
y = x
Достаточное условие Лежандра для экстремума:
F_{y'y'}(x, y, y') \geq 0 \quad \text{для минимума}, \quad F_{y'y'}(x, y, y') \leq 0 \quad \text{для максимума}
Подставим y' = 1:
F_{y'y'} = \frac{2}{(y')^3} = \frac{2}{1^3} = 2 > 0
Поскольку F_{y'y'} > 0, по достаточному условию Лежандра функционал достигает минимума на экстремали y = x.
Ответ: экстремаль y = x является точкой минимума функционала.